Class 12th Math Differential Equations chapter mcq exam quiz

Boost your readiness for Board, CUET, and competitive exams with our Class 12 Math Differential Equations MCQ Quiz. Sharpen your skills, tackle varied questions, and ace your exams confidently!

Report a question

You cannot submit an empty report. Please add some details.

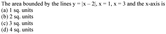
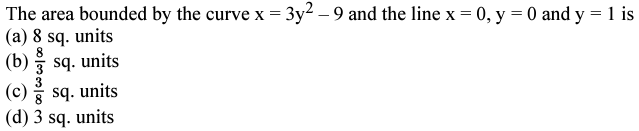
12th Math: Application of Integrals

1 / 10

2 / 10

3 / 10

4 / 10

5 / 10

6 / 10

7 / 10

8 / 10

9 / 10

10 / 10

Insert Full Name and email for result

Your score is

Quiz Score Card

Pos.NameScorePoints
1Prateek rohilla40 %4

Sharpen Your Skills with the Class 12 Differential Equations Free MCQ Quiz!
Differential Equations is a crucial topic in Class 12 Mathematics with applications in physics, engineering, and real-world problem-solving. Our free online MCQ quiz on the Differential Equations chapter is based on the latest NCERT Class 12 syllabus, helping you master concepts like order and degree of equations, general and particular solutions, and methods of solving first-order differential equations.

Whether you’re preparing for the CBSE board exams or aiming for entrance tests like JEE, this quiz is a perfect way to assess your understanding and improve your problem-solving speed. Take the quiz multiple times to boost accuracy and gain confidence in this high-weightage chapter.

✅ FAQs

Q1. What topics are included in the Class 12 Differential Equations MCQ Quiz?

The quiz covers key concepts such as order and degree of differential equations, general and particular solutions, and methods of solving first-order linear and variable separable differential equations.

Q2. Is this Differential Equations MCQ quiz suitable for CBSE Class 12 board exam preparation?

Yes, the quiz is designed strictly according to the CBSE Class 12 Maths syllabus and includes questions likely to appear in board exams.

Q3. Are JEE aspirants benefited by this Differential Equations quiz?

Absolutely! Many JEE Main and Advanced papers include basic and advanced problems from this chapter, making this quiz ideal for revision.

Q4. What format are the questions in this Differential Equations MCQ test?

The quiz includes multiple-choice questions (MCQs) with one correct answer, designed to match the format of board and entrance exams.

Q5. Is there any cost to attempt the Class 12 Differential Equations quiz?

No, the quiz is completely free and open to all students. No registration or payment is required.

Vidyalite Team

Give Your Rating and Review

Helpful for your studies? Leave a review with 5-star rating!

No ratings yet. Be the first to rate!