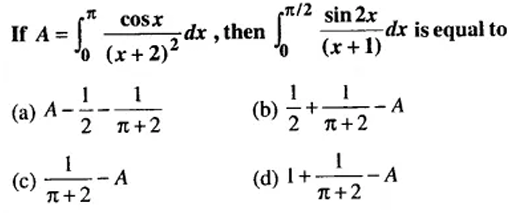
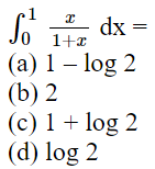
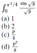
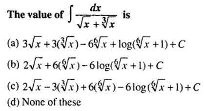
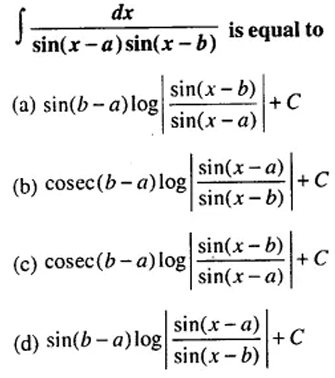
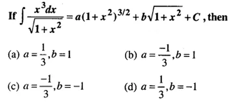
#MathQuiz #CUET #JEE #Quiz #IntegralsQuiz Are you student of Class 12th Math? Quiz Ranker official website provide free exam preparation quiz for all. Attempt Class 12th Math Integrals chapter mcq exam quiz and check your knowledge instantly.
Quiz Score Card
| Pos. | Name | Score | Points |
|---|---|---|---|
| There is no data yet |
Crack Class 12th Integrals with Our Free Chapter-wise MCQ Quiz!
Integrals is one of the most fundamental and scoring chapters in Class 12 Maths. This free MCQ quiz helps you solidify your understanding of indefinite and definite integrals, properties of integrals, and integration techniques like substitution, partial fractions, and by parts. Designed strictly according to the NCERT Class 12 syllabus, this quiz is a great way to practice and prepare for board exams.
Whether you’re just starting your revision or fine-tuning your problem-solving skills, this quiz provides a focused way to test your conceptual clarity and speed. Take the quiz multiple times to improve accuracy, and get ready to face exam questions with confidence!
FAQs
Q1. What topics are included in the Class 12 Integrals MCQ Quiz?
The quiz covers all major topics such as indefinite integrals, definite integrals, integration by substitution, by parts, using partial fractions, and properties of definite integrals.
Q2. Is this quiz suitable for board exam preparation?
Yes, it aligns perfectly with the NCERT Class 12 syllabus and CBSE board exam pattern.
Q3. Who can take this Integrals quiz?
This quiz is ideal for Class 12 students preparing for board exams, as well as competitive exams like JEE where integrals are frequently tested.
Q4. Can I retake the quiz for practice?
Yes, you can take the quiz multiple times to practice and reinforce your learning.
Q5. Is the Integrals MCQ quiz free to use?
Absolutely! The quiz is 100% free and open to all students.

