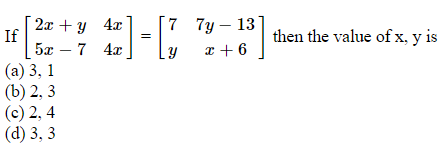
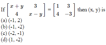
Class 12 Mathematics introduces students to the fascinating realm of matrices, a fundamental concept with diverse applications across various fields. Matrices are structured arrangements of numbers within rows and columns, serving as powerful tools in solving simultaneous equations, transformations, and data representation.
View score card. Share/Compete with friends.
| Pos. | Name | Score | Points |
|---|---|---|---|
| 1 | abc | 100 % | 10 |
| 2 | chandan | 90 % | 9 |
| 3 | abc | 80 % | 8 |
| 4 | Prateek rohilla | 80 % | 8 |
| 5 | abc | 40 % | 4 |
| 6 | llala | 40 % | 4 |
| 7 | atharv | 30 % | 3 |
Try other chapter-wise quiz of 12th math
The curriculum delves into matrix operations encompassing addition, subtraction, multiplication, and inversion, elucidating the rules governing these operations. Moreover, students explore determinants, adjoint matrices, and their applications in solving systems of linear equations and computing areas/volumes. Matrices form the backbone of numerous mathematical models, aiding in computer graphics, quantum mechanics, statistics, and economics. This subject equips students with a robust foundation in mathematical abstraction and problem-solving, fostering critical thinking and analytical skills essential for higher studies and real-world applications.
Class 12th Math Matrices MCQ Exam Quiz – Test Your Matrix Skills!
Matrices form a fundamental chapter in Class 12 Mathematics, essential for understanding linear algebra concepts. This chapter covers the basics of matrices, types, operations (addition, multiplication), transpose, determinants, inverse of a matrix, and applications in solving systems of linear equations. Master these topics to boost your exam preparation and problem-solving abilities.
Our free Matrices MCQ exam quiz is tailored to help you evaluate your understanding of matrix concepts chapter-wise and prepare effectively for your CBSE board exams and other competitive tests. Sharpen your skills by practicing multiple-choice questions designed as per the latest NCERT syllabus.
FAQs
Q1. What topics are included in the Class 12 Matrices MCQ quiz?
The quiz covers matrix types, matrix operations, transpose, determinants, inverse of matrices, and solving linear equations using matrices.
Q2. Is this Matrices quiz aligned with the latest NCERT Class 12 Maths syllabus?
Yes, all questions are based on the current NCERT syllabus for Class 12 Mathematics to ensure exam relevance.
Q3. How will practicing this MCQ quiz help in my CBSE board exam?
Regular practice improves your understanding of matrix concepts, enhances accuracy, and increases speed, boosting your performance in board exams.
Q4. Are the MCQs useful for other competitive exams like JEE?
Yes, matrices are a key topic in many engineering entrance exams, and these questions help strengthen your foundation.
Q5. Is the Matrices MCQ quiz free and easy to access?
Absolutely! The quiz is free and can be accessed anytime without registration or payment.

